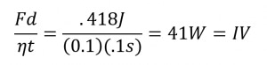
线性运动电磁铁选型与尺寸确定指南 大多数工程挑战都很复杂,很少只涉及单一变量或变量之间的互斥性。在这里增加尺寸,就会在别处有所损失。更多功率意味着更多热量。更快的启动速度通常会导致更高的冲击负载和更多磨损。清单还在继续。仔细追踪多变量流形的轮廓是工程师的基本功。电磁铁的尺寸确定也不例外。为了证明这一点,让我们逐步完成一个有趣而迫切需要的应用场景中的电磁铁选型与尺寸确定过程: 应用场景:休息室除味器 您是一位勤奋的工程师。有时您工作到很晚,有时您很早到岗。您尽一切努力,甚至午餐时间也在工作。午餐高峰期刚过,最后一碗剩菜离开餐厅后,您走进休息室。您不得不非常熟悉当您混合烧焦的爆米花气味、鸡肉阿尔弗雷多酱和昨晚的泰国菜以及所有其他人的午餐气味时会发生什么。这并不美好!您和您的鼻子每天都要涉足那片战场,才能走到冰箱前。更糟糕的是,除了在微波炉上方安装工业级厨房排气罩并将风扇速度旋钮调过10级到"台风"档位之外,您真的无能为力。 或者真的有办法吗? 如果您有一个小装置,大约肥皂分配器大小,可以安装在微波炉外的某个地方呢?如果这个小装置喷洒食品安全的除味喷雾,直接从源头消除异味呢?瞧!问题解决了!对吧?如果您将它和微波炉门联锁呢?您可以使用电磁铁在每次门联锁关闭时启动气雾罐,就这样您再也不用闻同事的西兰花鸡肉阿尔弗雷多酱了。 这不可能这么简单,对吧?但确实可以!让我们一步步了解如何为此应用确定电磁铁的尺寸。 忍不住想为年轻人提供一个简短版本(tl:dr),如下: tl:dr 如何确定电磁铁尺寸 测量驱动机制所需的力和行程 定义应用的工作周期 计算所需的电功率输入并确定供电电压 使用电磁铁数据找到满足行程力要求的电磁铁 根据供电电压选择合适的线规 实施返回机制并解决其他各种应用特定问题(垂直方向、防止重复启动的定时电路等) 确定电磁铁尺寸(通过基本能量平衡): 电磁铁,从其最基本的意义上讲,是一种机电设备,接收电能作为输入,将铁磁性铁柱塞拉入线圈,并对某种机制做功——在这种情况下是气雾罐的顶部。(如果电磁学的魔力仍然让您惊讶,即使您像了解ABC一样熟悉麦克斯韦方程组,您可能仍然会喜欢费曼讲座:https://feynmanlectures.caltech.edu/II_toc.html)。 为应用确定电磁铁尺寸的第一步是计算机制(气雾罐)运动需要多少机械能。如您所知: W=Fd 其中,W是功,F是力,d是距离。 测量柱塞轴的总行程,从刚好在罐按钮顶部上方开始,到释放适量喷雾后按钮移动的距离结束。大约3/8英寸。您碰巧有一个重1磅的质量,如果将其放在罐顶部,它会压缩罐而不会造成损坏。因此,您需要3/8英寸的行程长度和1磅的力。 对于电气方面,一个简单的能量平衡: W=Fd=ηIVt 其中η是效率系数,I是电流,V是供电电压,t是启动时间。 您希望供电电压不超过12V,这可能看起来有点高,但正如我们稍后将看到的,3/8英寸的行程排除了更低的电压(至少在不使用电容放电或低线规线圈的情况下,这两种方法都会有效增加供给电磁铁的电流)。我们大致估算电气效率系数为0.1,这是相当低效的。电磁铁虽然是转换电能为机械功的实用手段,但也是非常有效的加热器。 由于I²R损耗和电磁铁相对较低的效率,发热是主要关注点之一。因此,考虑电磁铁的工作周期很重要;工作周期定义为供电时间占总周期时间的比例。像这样: duty cycle of the solenoids 在这种情况下,我们只希望电磁铁启动足够长的时间来释放一次喷雾,所以假设我们的电磁铁开启时间不应超过100毫秒,关闭时间至少为300毫秒。这给出了25%的工作周期。 顺便说一句,为了在某些允许用户反复打开电磁铁电源的应用中实现这种工作周期,可能需要实施定时器电路来防止这种重复启动。为简单起见,我们假设没有人需要超过一次喷雾,并且所有用户都相当守规矩(这显然是一个非常粗略的假设,因为我们都知道有些食物比其他食物更易产生气味。这可能有好有坏。 接下来,评估之前的能量平衡方程。从力的角度,使用国际单位制: W=Fd=(4.4N)(.0095m)= .0418J 现在,求解这个方程的电气部分的功率项: equation for the power term 计算告诉我们,我们需要一个输入功率为41瓦的电磁铁来在行程中产生所需的力。 力/行程曲线: 现在我们需要关于电磁铁在特定行程和输入功率下能产生多少力的数据。以JE目录为例,您会看到STA管状系列按尺寸(直径x长度)从½"x½"到1½"x2½"组织,并分为推式和拉式模型。我们的应用需要一个推式模型。力与行程和启动速度曲线可用于初步选择。注意,力随着行程增加呈指数下降,并且超过2英寸的行程对电磁铁来说很困难。我们需要3/8英寸的行程。力/行程曲线显示四条曲线,代表电磁铁在特定工作周期下的力/行程特性。这里有一个例子: 快速谈谈力、电流和工作周期之间的关系。电磁铁的力(在给定行程下)大致与其安匝数的平方成正比。安匝数是一个单位,来源于导线绕线架的匝数乘以供给线圈的电流。对于给定线圈,保持匝数不变和线圈几何形状(即直径、长度、横截面积)不变,增加功率将增加电磁铁产生的力。但如前所述,电磁铁中产生的热量随电流平方增加。所以我们发现自己需要一点平衡术。电流、力和热量都直接成正比,但比例不同。力随线圈安匝数的平方变化。热量随电流平方变化。增加这些变量中的任何一个,其他变量都必须随之增加。 除了力/行程曲线外,还有按工作周期分为四列的表格。力/行程曲线上的四条曲线也是如此。这些曲线按工作周期或输入功率排序分成系列。这个曲线系列不是离散集合,而是作为输入功率的函数连续变化。供给电磁铁的功率越多,在行程中产生的力就越大。然而,这样做需要在开启时间上进行权衡以防止热损伤。 例如,如果我们选择一个额定在4.4伏特下10W的线圈,而改为给它8V,如果我们保持通电相同的时间,可能会遇到热故障,如熔化的线圈骨架或磁线熔断。 回到我们的选择。确定了25%的工作周期和约40W的输入功率后,我们查看力/行程曲线,发现1"x2" 100-STA(零件号:195207-XXX)是一个很好的选择(参见上面的力/行程曲线和下面的100-STA线规图表)。从力/行程角度来看,它是一个很好的选择:它在25%工作周期下产生约2磅的力。从功率输入角度来看,它也很合适,25%工作周期额定为40W。102-STA也是一个合理的选择,但它在行程中产生的力几乎正好是1磅,没有安全系数(记住102-STA比100小)。注意,如果在应用中,我们的工作周期低于25%,那么102-STA可能是一个好选择。 确定线规尺寸: 快完成了!选择100-STA后,我们需要根据输入电压约束选择线规。我们之前决定供电电压不超过12V。上表显示,23号线规线圈需要8.9V来产生40W功率,以在行程中提供1磅力。我们最终选择了平面柱塞的100-STA和23号线规线圈(零件号195207-123)。注意,如果我们选择60°锥形柱塞,我们可能可以改为使用20W输入功率,这种洞察是工程师熟悉的,也是迭代设计如此重要的原因。 这个设计设想电磁铁垂直安装,轴向下,所以需要某种东西来防止柱塞因重力移位。柱塞在启动后还需要返回原始位置。返回弹簧可以解决这两个问题。 我们还看到,我们在电磁铁中设计的额外力(25%工作周期下2磅,比实际需要多1磅)可以部分用于在启动期间克服弹簧力。返回弹簧在电磁铁应用中很常见。注意:回想一下,弹簧力随行程线性变化,而电磁铁产生的力随行程非线性变化。这是一种复杂的说法,即在较长行程时,您可能会遇到弹簧力大于电磁铁产生的力的情况,但在较短行程时这很少成为问题。 由于我们的速成课程变得有些冗长,我们假设我们可以选择一个返回弹簧力足够低,使得额外的1磅力足以克服线性弹簧力(一个合理的假设)。 总结: 让我们回顾一下选择电磁铁的步骤(tl:dr): 测量驱动机制所需的力和行程 定义应用的工作周期 计算所需的电功率输入并确定供电电压 使用JE电磁铁目录找到满足行程力要求的电磁铁 根据供电电压选择合适的线规 实施返回机制并解决其他应用特定问题:垂直方向、防止重复启动的定时电路等。 虽然这对我们每天这样做的人来说是一个有趣的练习,但如果您发现自己挠头不知从何开始,请记住:您不必独自完成所有这些。Johnson Electric聘用了应用工程师,他们将帮助为您的特定设计选择合适的电磁铁——而且我们会乐在其中! 请点击此处访问英文页面。




